- 7月 31 週日 201621:19
台股現金股利殖利率(07/29)更新
- 7月 25 週一 201609:20
台股現金股利殖利率(07/25)更新

除權息進入下半場,下好離手,時間不多了....
下載:台股現金股利殖利率(7/25更新)
- 7月 13 週三 201621:28
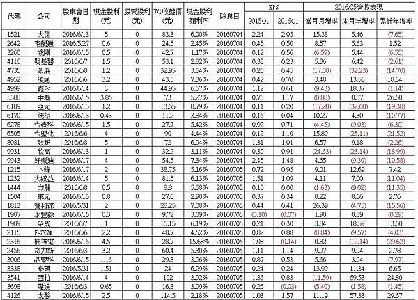
30家營收百億以上公司2016H1 EPS預估
- 7月 12 週二 201622:07
2016年6月台股上市公司營收表現

2016年6月,台灣整體出口值為228.9億美元,較去年同期衰退2.1%,創下連17黑的紀錄。值得慶賀的是YOY衰退為近期最小,頗有快要轉正的跡象。衰退幅度降低主要受到電子零組件YOY大增11.5%的激勵下導致。若以新台幣計價,則出口年增率為3.4%,顯示最壞的情況已經過去。至於7月份的出口表現,卡菲認為英國脫歐的影響仍有不確定性,加上南海仲裁出爐,東南亞緊張情勢升高都可能成為影響全球貿易的情況。加上許多電子產品第三季都將推出新產品,可能8月才會出現較明顯的備貨、拉貨需求出現。另一個好消息是最近公布的景氣對策訊號連兩個月出現黃藍燈,顯示景氣已經逐漸跨出衰退,但仍處於低迷階段,後續表現穩定的關鍵在於出口能否有明顯成長。
再來觀察台股上市公司總體合併營收表現,如下圖所示,從數據來看2016年6月台股上市公司(含TDR與F類股)的合併總營收為台幣2.36兆元,較上個月成長5.7%。相較去年同期僅衰退0.1%,顯示台股上市公司營收成長率已經快要轉正;至於H1累積營收為13.3兆元,仍較去年上半年減少3.5%,但衰退幅度已經是今年以來的最佳表現。
- 7月 10 週日 201617:04
台股現金股利殖利率(07/07)更新

除權息持續進行中,密切注意業績成長、今年第一季較去年同期成長,殖利率又高的個股!!
下載:台股現金股利殖利率(7/7更新)
- 7月 05 週二 201613:29
2016年6月已公布營收資訊(6/4)

每月成績單又要陸續公布了,截至7/4已經有37家公司搶先公布月營收資訊...其他的就讓我們繼續看下去~
- 7月 04 週一 201608:54
台股現金股利殖利率(07/01更新)

7月到了,開始放暑假,但是投資是沒有假期的。
下載:台股現金殖利率(7/1更新)
- 6月 26 週日 201622:03
台股現金殖利率(6/26更新)

英國脫歐這隻超大黑天鵝跑出來,出乎很多人的意料之外,但是全球市場已經快速反應,但短期震盪難免。後續觀察重點在於是否會產生連鎖效應,是否有其它歐盟國家躍躍欲試,想要跟進以公投方式決定是否脫離歐盟。當然歐元區的問題無法在此一一討論,然以目前英國一日英鎊暴跌11%,加上股市大幅度震盪,應該都會對想要退出歐盟的國家有所警惕,只是短期間大家都在看英國脫歐到底是利大於弊,還是日不落國會變成日落帝國。就算是利大於弊,有意脫離歐盟的國家還是得秤秤自己的斤兩,再決定要不要公投比較好。
說了那麼多,重點是價值投資秉持的是公司長期的營運價值,具備競爭力的公司並不會因為短期的黑天鵝事件公司就倒地不起;大家還是找看看會不會這次事件反而有很多好公司更具備投資價值了呢?快點抓資料回去看看吧!!
- 6月 19 週日 201622:28
台股現金股利殖利率(06/19更新)

台股現金股利、殖利率、除息日最新更新(6/19)
下載:台股已公布現金股利殖利率(06/19更新)
- 6月 14 週二 201622:00
2016年5月台股上市公司營收表現

2016年5月,台灣整體出口值為235.4億美元,年增率衰退9.6%,創下連16黑的紀錄。又黑了!這好像不是個新聞,財政部預期最快9月才會轉正,可能創下連19黑的紀錄。那台股上市公司的情況會不會好一點呢?我認為有逐漸穩定的跡象,但應該還是要等到第三季,特別是蘋果iPhone 7開始組裝時,才會有比較好的表現。
如下圖所示,從數據來看2016年5月台股上市公司(含TDR與F類股)的合併總營收為台幣2.23兆元,較上個月成長1.9%。雖然相較去年同期則衰退0.6%,為自去年11月以來,年增率衰退幅度最小的一個月;至於累積營收為11兆元,年增率則自一月的-8.6%逐漸收斂到-4.2%,累積年增率已有點自長期下滑趨勢中逐漸轉好的情況。


